FAG Bearing

Z-581097.TR2 FAG tapered roller bearings

FAG Bearings

Tapered roller bearings

Single row

Double row

Four-row

Get A Quote
Contact Us
FAG bearing various selection , welcome inquiry online or email me directly to : info@cmtgbearing.com.

 

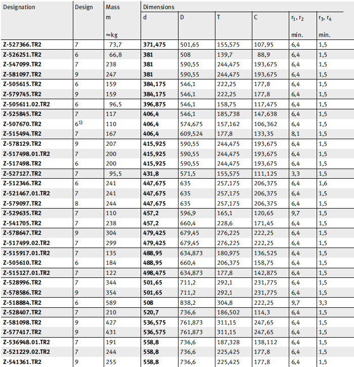
DesignationDesignMass
m

≈kg

Dimensions
dDTC1,「2

min.

「3.「4

min.

Z-527366.TR2773737147550165155575107956415
Z-526251.TR2666838150813978896415
Z-547099.TR27238381590552444751936756415
Z-581097.TR29247381590552444751936756415
Z-505615.TR2615938417554612222517786415
Z-579745.TR2915938417554612222517786415
Z-505611.02.TR269653968755461158751174756415
Z-525845.TR27117406454611857381476386415
Z-507670.TR261)11040645746751571621063626415
Z-515494.TR2716740646095241778133358115
Z-578129.TR29207415925590552444751936756415
Z-517498.01.TR27200415925590552444751936756415
Z-517498.TR26200415925590552444751936756415
Z-527127.TR27955431857151555751111253315
Z-512346.TR262414476756352571752063756416
Z-521467.01.TR272414476756352571752063756415
Z-579097.TR282444476756352571752063756415
Z-529635.TR27110457259691651120659715
Z-541705.TR27238457266042286171456415
Z-578647.TR2930447942567945276225222256415
Z-517499.02.TR2729947942567945276225222256415
Z-515917.01.TR27135488956348731809751365256415
Z-505610.TR26184488956604206375158756415
Z-515127.01.TR2712249847563487317781428756415
Z-528996.TR2734450165711229212317756415
Z-578586.TR2935450165711229212317756415
Z-518884.TR2658950883823048222259733
Z-528407.TR272105207736618650211436415
Z-581098.TR2942753657576187331115247656415
Z-577417.TR29431536.57576187331115247656415
Z-536948.01.TR2
Z-521229.02.TR2
7
7
191558873661873281381126415
2445588736622542517786415
Z-541361.TR292555588736622542517786415

CMTG BEARING CO.,LIMITED.  has been engaged in bearing industry for many years, we provide a wide selections of brands, including FAG bearingSKF bearing,NSK bearing,Nachi bearing, TIMKEN bearing, THK Linear Guide and Linear Block …ect.

Brand service including SKF FAG INA TIMKEN NSK NTN NACHI THK IKO…

Bearing typies including standard bearing and non-standard bearings, linear bearings, automotive bearings, large bearings, railway bearings,spherical plain bearings, high temperature,super-precision bearings, as well as some rare types customized to your need.

FAST DELIVERY, FREE SAMPLES, BEST SERVICES…

Contact us if any bearing in demand . we will check and revert ASAP.

 

Product Inquiry Form

Warmly welcome your inquiry.

Custom tab

可以自由添加不限数量的Tabs内容,支持按照产品分类、标签应用设置的内容,也可以在单个产品页面独立添加所需的tab,支持排序。

Scroll to Top